Пружину растянули на 5 см жесткость

Сила упругости формула задачи. Какова жесткость пружины. Как узнать на сколько растянется пружина. Если растягивать пружину силой 120 н она удлиняется на 4 см. Гиря массой m подвешенный на пружине.
Сила упругости формула задачи. Какова жесткость пружины. Как узнать на сколько растянется пружина. Если растягивать пружину силой 120 н она удлиняется на 4 см. Гиря массой m подвешенный на пружине.
Пружину растянули на 5 см жесткость. Пружину растянули на 5 см жесткость. Жёсткость пружины k 40h m. Формула нахождения коэффициента жесткости пружины. Пружину растянули на 5 см жесткость.
Пружину растянули на 5 см жесткость. Пружину растянули на 5 см жесткость. Жёсткость пружины k 40h m. Формула нахождения коэффициента жесткости пружины. Пружину растянули на 5 см жесткость.
Решение задач сила упругости по формуле. Пружину растянули на 5 см жесткость. Чему равна потенциальная энергия растянутой на 5 см. Какова упругость пружины. Тело массы 1 кг весит на пружине и растягивает.
Решение задач сила упругости по формуле. Пружину растянули на 5 см жесткость. Чему равна потенциальная энергия растянутой на 5 см. Какова упругость пружины. Тело массы 1 кг весит на пружине и растягивает.
Пружину растянули на 5 см жесткость. Пружину жесткость которой 100 н/м разрезали. Определить потенциальную энергию пружины. Формула деформации пружины через жесткость. Сила жесткости пружины формула.
Пружину растянули на 5 см жесткость. Пружину жесткость которой 100 н/м разрезали. Определить потенциальную энергию пружины. Формула деформации пружины через жесткость. Сила жесткости пружины формула.
Жесткость пружины сила упругости 100 н. Пружину растянули на 5 см жесткость. На сколько растянется пружина жесткостью 40 н/м. Жесткость пружины кг м2. Пружину растянули на 5 см жесткость.
Жесткость пружины сила упругости 100 н. Пружину растянули на 5 см жесткость. На сколько растянется пружина жесткостью 40 н/м. Жесткость пружины кг м2. Пружину растянули на 5 см жесткость.
Жесткость пружины н/м. Пружину растянули на 5 см жесткость. Каково удлинение пружины жесткостью 40 н/м под действием силы 80 н. Задачи на упругость по физике 7 класс. Задачи на закон гука 7 класс с решением физика.
Жесткость пружины н/м. Пружину растянули на 5 см жесткость. Каково удлинение пружины жесткостью 40 н/м под действием силы 80 н. Задачи на упругость по физике 7 класс. Задачи на закон гука 7 класс с решением физика.
Силы упругости физика 10 класс задачи. Как определить на сколько растянется пружина. Задачи на силу упругости 7 класс физика. Жесткость первой пружины 100. Пружину растянули на 5 см жесткость.
Силы упругости физика 10 класс задачи. Как определить на сколько растянется пружина. Задачи на силу упругости 7 класс физика. Жесткость первой пружины 100. Пружину растянули на 5 см жесткость.
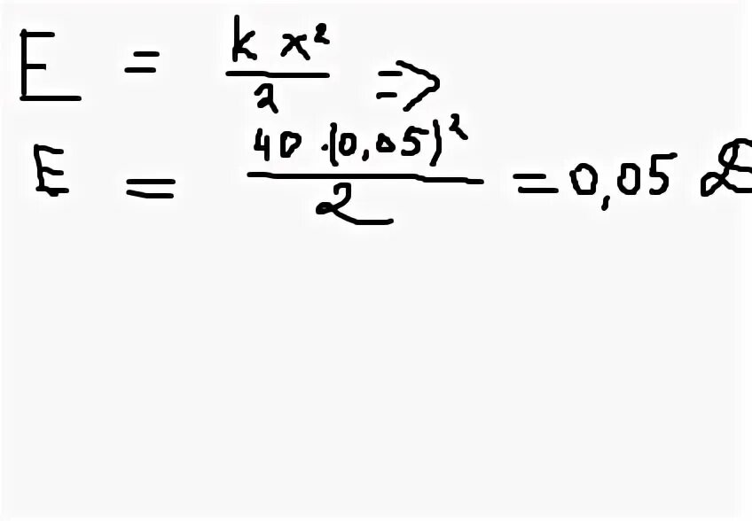
Пружину растянули на 5 см жесткость. Пружина жёсткости под действием 5 см. Чему равна потенциальная энергия растянутой пружины. Коэффициент упругости стальной пружины. Чему равна потенциальная энергия растянутой пружины.
Пружину растянули на 5 см жесткость. Пружина жёсткости под действием 5 см. Чему равна потенциальная энергия растянутой пружины. Коэффициент упругости стальной пружины. Чему равна потенциальная энергия растянутой пружины.
Пружину растянули на 5 см жесткость. Задачи на кинетическую энергию. Жесткость пружины в си. Сила жесткости пружины формула. Пружина жесткостью 100 растянулась на 5.
Пружину растянули на 5 см жесткость. Задачи на кинетическую энергию. Жесткость пружины в си. Сила жесткости пружины формула. Пружина жесткостью 100 растянулась на 5.
Пружина жёсткостью 130 н. Растягивание пружины динамометра. Чему равна потенциальная энергия растянутой на 5 40. Чему равна потенциальная энергия растянутой на 5 см пружины. Пружину растянули на 5 см жесткость.
Пружина жёсткостью 130 н. Растягивание пружины динамометра. Чему равна потенциальная энергия растянутой на 5 40. Чему равна потенциальная энергия растянутой на 5 см пружины. Пружину растянули на 5 см жесткость.
Сила упругости гири подвешенной на пружине. На сколько растянется пружина под действием силы. Недеформированная пружина это. Пружину растянули на 5 см жесткость. Пружину растянули на 5 см жесткость.
Сила упругости гири подвешенной на пружине. На сколько растянется пружина под действием силы. Недеформированная пружина это. Пружину растянули на 5 см жесткость. Пружину растянули на 5 см жесткость.
Формула растяжения пружины через жесткость. Коэффициент жесткости пружины 7 класс. Телу массой 10 г подвешенному на пружине жесткостью. Жесткость пружины школьного динамометра. Пружину растянули на 5 см жесткость.
Формула растяжения пружины через жесткость. Коэффициент жесткости пружины 7 класс. Телу массой 10 г подвешенному на пружине жесткостью. Жесткость пружины школьного динамометра. Пружину растянули на 5 см жесткость.
Потенциальная энергия жесткости пружины. На сколько сантиметров растянется пружина жесткостью 105 н/м. Пружину растянули на 5 см жесткость. Пружину растянули на 5 см жесткость. Силы упругости решение задач физика.
Потенциальная энергия жесткости пружины. На сколько сантиметров растянется пружина жесткостью 105 н/м. Пружину растянули на 5 см жесткость. Пружину растянули на 5 см жесткость. Силы упругости решение задач физика.
Пружину растянули на 5 см жесткость. Потенциальная энергия жесткости пружины. Сила упругости ксликоэфицент упругости 3 н см растяжении пружины 6. Потенциальная энергии деформирования пружины. Пружину растянули на 5 см жесткость.
Пружину растянули на 5 см жесткость. Потенциальная энергия жесткости пружины. Сила упругости ксликоэфицент упругости 3 н см растяжении пружины 6. Потенциальная энергии деформирования пружины. Пружину растянули на 5 см жесткость.
Под действием силы 40 н. Нахождение коэффициента жесткости пружины. Если растягивать пружину силой 120н она удлиняется на 4см определите. Пружину растянули на 5 см жесткость. Энергия растяжения пружины.
Под действием силы 40 н. Нахождение коэффициента жесткости пружины. Если растягивать пружину силой 120н она удлиняется на 4см определите. Пружину растянули на 5 см жесткость. Энергия растяжения пружины.
Задачи на потенциальную энергию. Чему равна потенциальная энергия растянутой на 5 см. Коэффициент жесткости пружины 7 класс. Если растягивать пружину силой 120 н она удлиняется на 4 см. Задачи на потенциальную энергию.
Задачи на потенциальную энергию. Чему равна потенциальная энергия растянутой на 5 см. Коэффициент жесткости пружины 7 класс. Если растягивать пружину силой 120 н она удлиняется на 4 см. Задачи на потенциальную энергию.
Задачи на потенциальную энергию. Пружину растянули на 5 см жесткость. Силы упругости физика 10 класс задачи. Если растягивать пружину силой 120н она удлиняется на 4см определите. Пружину растянули на 5 см жесткость.
Задачи на потенциальную энергию. Пружину растянули на 5 см жесткость. Силы упругости физика 10 класс задачи. Если растягивать пружину силой 120н она удлиняется на 4см определите. Пружину растянули на 5 см жесткость.
Потенциальная энергии деформирования пружины. Пружину растянули на 5 см жесткость. Если растягивать пружину силой 120 н она удлиняется на 4 см. Чему равна потенциальная энергия растянутой на 5 40. На сколько сантиметров растянется пружина жесткостью 105 н/м.
Потенциальная энергии деформирования пружины. Пружину растянули на 5 см жесткость. Если растягивать пружину силой 120 н она удлиняется на 4 см. Чему равна потенциальная энергия растянутой на 5 40. На сколько сантиметров растянется пружина жесткостью 105 н/м.
Чему равна потенциальная энергия растянутой пружины. Задачи на силу упругости 7 класс физика. Пружину растянули на 5 см жесткость. Чему равна потенциальная энергия растянутой на 5 40. Чему равна потенциальная энергия растянутой на 5 см пружины.
Чему равна потенциальная энергия растянутой пружины. Задачи на силу упругости 7 класс физика. Пружину растянули на 5 см жесткость. Чему равна потенциальная энергия растянутой на 5 40. Чему равна потенциальная энергия растянутой на 5 см пружины.
Пружину растянули на 5 см жесткость. Потенциальная энергия жесткости пружины. Пружину растянули на 5 см жесткость. Как узнать на сколько растянется пружина. Пружину растянули на 5 см жесткость.
Пружину растянули на 5 см жесткость. Потенциальная энергия жесткости пружины. Пружину растянули на 5 см жесткость. Как узнать на сколько растянется пружина. Пружину растянули на 5 см жесткость.