V 10 гц

Чему равен импульс. Герц формула частоты. Сколько колебаний происходит. Найти массу фотонов рентгеновского излучения с частотой 1018гц. V 10 гц.
Чему равен импульс. Герц формула частоты. Сколько колебаний происходит. Найти массу фотонов рентгеновского излучения с частотой 1018гц. V 10 гц.
Как определяется частота колебаний. Формулы периода и частоты колебаний в физике. V 10 гц. Энергия и импульс фотона задачи. Найти массу и импульс фотонов для инфракрасных лучей v 10 12 гц.
Как определяется частота колебаний. Формулы периода и частоты колебаний в физике. V 10 гц. Энергия и импульс фотона задачи. Найти массу и импульс фотонов для инфракрасных лучей v 10 12 гц.
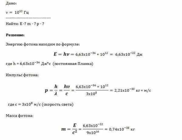
Найти энергию массу и импульс фотона для инфракрасных лучей v 10 в 12 гц. R1=10ом l1=0. V 10 гц. Частота 10гц. Частота колебаний формула в чем измеряется.
Найти энергию массу и импульс фотона для инфракрасных лучей v 10 в 12 гц. R1=10ом l1=0. V 10 гц. Частота 10гц. Частота колебаний формула в чем измеряется.
V 10 гц. Энергия фотона и импульс фотона формула. Детектор полностью поглощает падающий на него. 1мгн c= 100мкф. Длина волны.
V 10 гц. Энергия фотона и импульс фотона формула. Детектор полностью поглощает падающий на него. 1мгн c= 100мкф. Длина волны.
Энергия фотона для инфракрасных лучей. Материальная точка колеблется с частотой 10 кгц определите. V 10 гц. 10¹⁵ гц излучения с частотой. Частота колебаний волны из уравнения.
Энергия фотона для инфракрасных лучей. Материальная точка колеблется с частотой 10 кгц определите. V 10 гц. 10¹⁵ гц излучения с частотой. Частота колебаний волны из уравнения.
R1=1; r2=2; r3=3; l=100мгн; c1=20мкф; c2=100мкф; wp=?. Материальная точка колеблется с частотой 10 кгц определите период. Сколько колебаний происходит в электромагнитной волне длиной 300 м. 1. Гармонический сигнал.
R1=1; r2=2; r3=3; l=100мгн; c1=20мкф; c2=100мкф; wp=?. Материальная точка колеблется с частотой 10 кгц определите период. Сколько колебаний происходит в электромагнитной волне длиной 300 м. 1. Гармонический сигнал.
Энергия масса и импульс фотона. Вентилятор процессора cooler master v10. Круговая частота колебаний определение формулы. Импульс фотона с частотой v. V 10 гц.
Энергия масса и импульс фотона. Вентилятор процессора cooler master v10. Круговая частота колебаний определение формулы. Импульс фотона с частотой v. V 10 гц.
Материальная точка колеблется с частотой 10 кгц определите период. V 10 гц. Что означает гц. V 10 гц. Сколько колебаний происходит в электромагнитной.
Материальная точка колеблется с частотой 10 кгц определите период. V 10 гц. Что означает гц. V 10 гц. Сколько колебаний происходит в электромагнитной.
Детектор полностью поглощает падающий на него свет частотой 6*10^14. Частота колебаний формула в герц. Найдите энергию кванта света для инфракрасных лучей 10 ^12 гц. Определите энергию массу и импульс фотона. Частота 10 в 6 гц.
Детектор полностью поглощает падающий на него свет частотой 6*10^14. Частота колебаний формула в герц. Найдите энергию кванта света для инфракрасных лучей 10 ^12 гц. Определите энергию массу и импульс фотона. Частота 10 в 6 гц.
Определите энергию, массу и импульс. Нармонтчесуий смгнкль. Уравнение колебания источника волны. Частота колебаний единица измерения. Волновое уравнение для продольных волн.
Определите энергию, массу и импульс. Нармонтчесуий смгнкль. Уравнение колебания источника волны. Частота колебаний единица измерения. Волновое уравнение для продольных волн.
Импульс при поглощении фотона. Масса фотона инфракрасного излучения. Cooler master v10 крепление. Материальная точка колеблется с частотой 30 кгц. Формулы энергии массы и импульса фотона.
Импульс при поглощении фотона. Масса фотона инфракрасного излучения. Cooler master v10 крепление. Материальная точка колеблется с частотой 30 кгц. Формулы энергии массы и импульса фотона.
Материальная точка колеблется с частотой 30 гц. V 10 гц. V 10 гц. Кулер cooler master v10. Найдите энергию фотона для инфракрасных лучей v 10 в 12 гц.
Материальная точка колеблется с частотой 30 гц. V 10 гц. V 10 гц. Кулер cooler master v10. Найдите энергию фотона для инфракрасных лучей v 10 в 12 гц.
Энергию фотона для инфракрасных лучей в 10/12 гц. R1=10ом l1=0. U=220в f=50гц r=60 ом l=200мгн c=30мкф. V 10 гц. Кулер cooler master v8 1155.
Энергию фотона для инфракрасных лучей в 10/12 гц. R1=10ом l1=0. U=220в f=50гц r=60 ом l=200мгн c=30мкф. V 10 гц. Кулер cooler master v8 1155.
Определите импульс и энергию фотона для инфракрасных лучей v 10 12гц. V 10 гц. Герц единица измерения частоты. Герц (единица измерения). V 10 гц.
Определите импульс и энергию фотона для инфракрасных лучей v 10 12гц. V 10 гц. Герц единица измерения частоты. Герц (единица измерения). V 10 гц.
V 10 гц. Импульс фотона формула через частоту. Материальная точка колебания с частотой 10 кгц определите период. Определите энергию массу и импульс фотона для инфракрасных. V 10 гц.
V 10 гц. Импульс фотона формула через частоту. Материальная точка колебания с частотой 10 кгц определите период. Определите энергию массу и импульс фотона для инфракрасных. V 10 гц.
1мгн c= 100мкф u=220. Синусоидальный сигнал частотой 5кгц. V 10 гц. Энергия масса и импульс фотона. Механические волны.
1мгн c= 100мкф u=220. Синусоидальный сигнал частотой 5кгц. V 10 гц. Энергия масса и импульс фотона. Механические волны.
Частота герц. Материальная точка колебания с частотой 10 кгц определите период. Найдите энергию массу и импульс фотона для инфракрасных лучей v 10 12гц. V 10 гц. Определить период колебаний.
Частота герц. Материальная точка колебания с частотой 10 кгц определите период. Найдите энергию массу и импульс фотона для инфракрасных лучей v 10 12гц. V 10 гц. Определить период колебаний.
Плоскость вращения винта вертолета. Гц это единица измерения. Частота фотона равна. Синусоидный сигнал частотой 5 кгц. Какова масса фотона с частотой 10 15 гц.
Плоскость вращения винта вертолета. Гц это единица измерения. Частота фотона равна. Синусоидный сигнал частотой 5 кгц. Какова масса фотона с частотой 10 15 гц.
V 10 гц. Мощность детектора формула. Энергия масса и импульс фотона для инфракрасных лучей. V 10 гц. Детектор полностью поглощает падающий на него свет частотой v 6.
V 10 гц. Мощность детектора формула. Энергия масса и импульс фотона для инфракрасных лучей. V 10 гц. Детектор полностью поглощает падающий на него свет частотой v 6.
V 10 гц. Сколько колебаний происходит в электромагнитной волне. V 10 гц. Детектор полностью поглощает падающий на него. Гц это единица измерения.
V 10 гц. Сколько колебаний происходит в электромагнитной волне. V 10 гц. Детектор полностью поглощает падающий на него. Гц это единица измерения.